News & Highlights

Recent papers

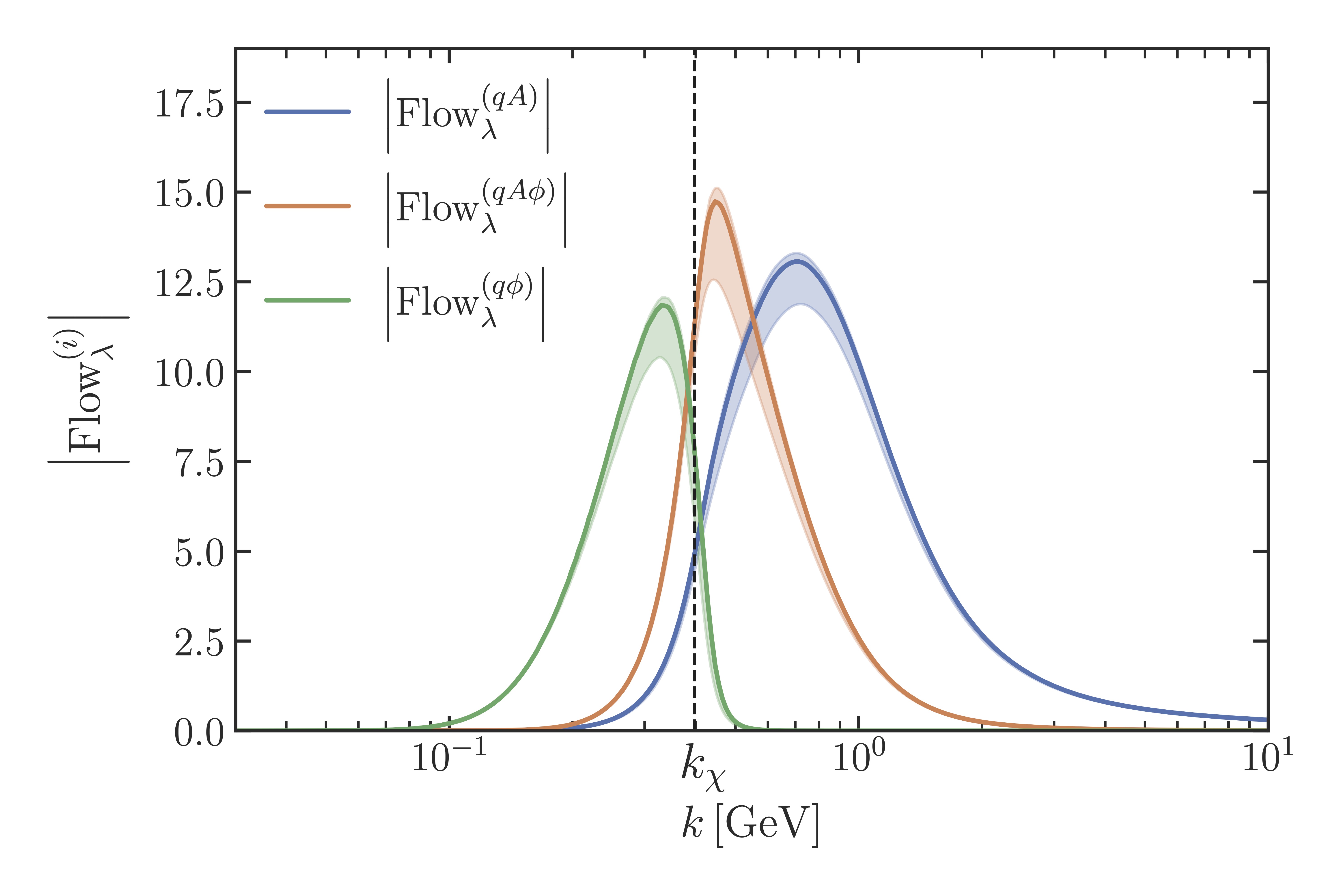
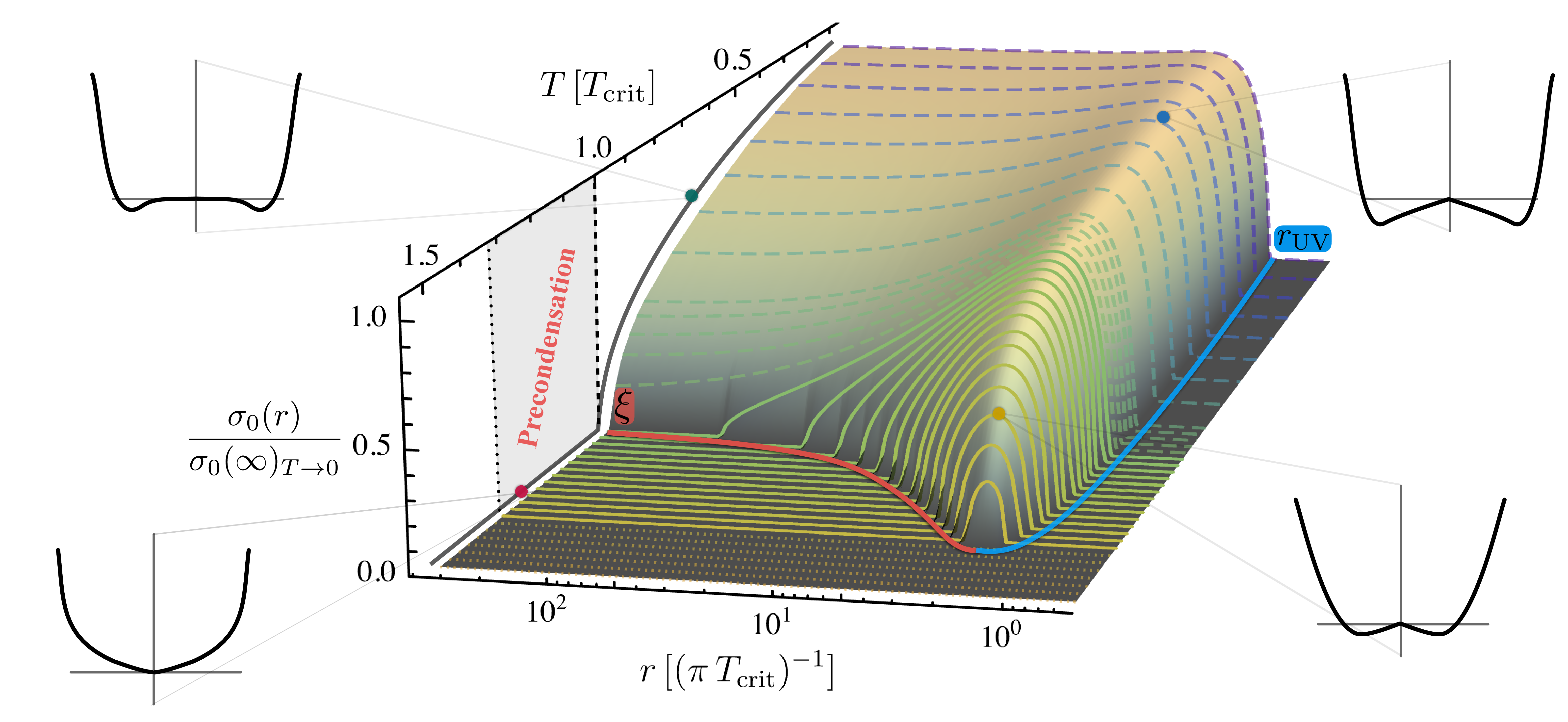
Thermal precondensation in gauge-fermion theories

Pastor-Gutiérrez, Pawlowski, Sattler, arXiv:2602.11265

Precondensation is a peculiar phenomenon in phase transitions, characterised by the occurrence of a condensate only over a finite range of length scales. It is closely connected to the emergence of domains, pseudo-gapped phases and spatial inhomogeneities in equilibrium. In this work, we show its occurrence in gauge-fermion theories in the chiral limit, close to the thermal chiral phase transition. We further show that the precondensation regime becomes increasingly pronounced and extends over a wider temperature range as the number of fermion flavours is increased. We analyse the underlying dynamics which is shared by a broad class of fermionic systems, ranging from condensed matter to high-energy physics. Specifically, we discuss the potential relevance of this phenomenon for physics beyond the Standard Model.

Inhomogeneous instabilities in high-density QCD

Pawlowski, Rennecke, Sattler, arXiv:2512.20510

QCD at large densities exhibits a moat regime in the scalar-pseudoscalar sector. The resolution of its dynamics is pivotal for the access to the onset of new phases including the potential critical endpoint of QCD. In this work we present the first selfconsistent analysis of this regime with the functional renormalisation group approach to QCD. We map out the moat regime, including a first analysis of potential inhomogeneous instabilities at baryon chemical potential \( \mu_B\gtrsim 600 \) MeV on the chiral crossover line.

Finite density signatures of confining and chiral dynamics in QCD thermodynamics and fluctuations of conserved charges

Lu, Gao, Liu, Pawlowski, arXiv:2504.05099

We evaluate thermodynamic observables such as pressure, baryon number, entropy and energy density, as well as the second and fourth order baryon number cumulants in the phase structure of QCD. The intertwined confinement and chiral dynamics is resolved within functional QCD, aiming for quantitative accuracy at larger densities. Specifically it is shown that the self-consistent resolution of the confining gluonic background is crucial in particular for even the qualitative properties of the cumulants. Our results are in quantitative agreement with lattice and functional QCD benchmarks at vanishing and small chemical potentials. Moreover, they offer novel insights in the dynamics at larger chemical potentials including the regime of the critical end point. A welcome by-product of this analysis is the computation of the Polyakov loop potential in finite density QCD, which, alongside the aforementioned observables, can be used as input and benchmark for effective theory computations at finite density.

Juggling with Tensor Bases in Functional Approaches

Braun, Geissel, Pawlowski, Sattler, Wink, arXiv:2503.05580

Systematic expansion schemes in functional approaches require the inclusion of higher order vertices. These vertices are expanded in independent tensor bases with a rapidly increasing number of basis elements. Amongst the related tasks are the construction of bases and projection operators, the importance ordering of their elements, and the optimisation of such tensor bases, as well as an analysis of their regularity in momentum space. We present progress in all these directions and introduce the Mathematica package TensorBases designed for the aforementioned tasks.

Quasi parton distributions of pions at large longitudinal momentum

Zhang, Huang, Fu, arXiv:2502.15384

In this paper, we develop an approach to calculate the valence-quark quasi parton distribution amplitude (quasi-PDA) and quasi parton distribution function (quasi-PDF) for the pion with a large longitudinal momentum with the functional renormalization group (fRG). This is demonstrated in a low energy effective theory (LEFT) with four-quark scatterings. In the study of the complex structure of quasi-PDA, we introduce a deformed integration contour in the calculations of quasi-PDA or quasi-PDF, which allows us to obtain correct integrals for all momentum fractions. It is found that the pion light-front PDA extrapolated from quasi-PDA based on the large momentum effective theory (LaMET) in the LEFT is comparable with lattice QCD and Dyson-Schwinger equation. This work paves the way to study the PDA and PDF within the fRG approach to first-principles QCD.

Four-quark scatterings in QCD III

Fu, Huang, Pawlowski, Tan, Zhou, arXiv:2502.14388

We study the full infrared dynamics of 2+1 flavour QCD with the functional renormalisation group approach. We resolve self-consistently the glue dynamics as well as the dynamics of chiral symmetry breaking. The computation hosts no phenomenological parameter or external input. The only ultraviolet input parameters are the physical ones in QCD: the light and strange quark masses. They are adjusted to the physical ratios of the pion and kaon masses, divided by the pion decay constant. The results for other observables of current first-principles computations are in quantitative agreement with the physical ones. This work completes the series of papers, initiated and furthered in [1,2], on dynamical chiral symmetry breaking and the emergence of mesonic bound states within the functional renormalisation group. As a first application we discuss the formation of light mesonic bound states. Amongst other applications such as the phase structure of QCD, the current work paves the way for studying QCD parton distribution functions within the functional renormalisation group approach to first-principles QCD.

The QCD moat regime and its real-time properties

Fu, Pawlowski, Pisarski, Rennecke, Wen, Yin, arXiv:2412.15949

Dense QCD matter may exhibit crystalline phases. Their existence is reflected in a moat regime, where mesonic correlations feature spatial modulations. We study the realtime properties of pions at finite temperature and density in QCD in order to elucidate the nature of this regime. We show that the moat regime arises from particle-hole-like fluctuations near the Fermi surface. This gives rise to a characteristic peak in the spectral function of the pion at nonzero spacelike momentum. This peak can be interpreted as a new quasi particle, the moaton. In addition, our framework also allows us to directly test the stability of the homogeneous chiral phase against the formation of an inhomogeneous condensate in QCD. We find that the formation of such a phase is highly unlikely for baryon chemical potentials \( \mu_B \leq 630\, {\rm MeV} \)

Phase structure of quark matter and in-medium properties of mesons from Callan-Symanzik flows

Töpfel, Pawlowski, Braun, arXiv:2412.16059

We compute meson spectral functions at finite temperature and density in the quark-meson model, supplemented with a computation of the phase diagram. In particular, we provide a detailed analysis of the non-analytic structure of the meson two-point functions which is of great relevance for phenomenological applications, such as moat regimes and inhomogeneous phases. Furthermore, it is also relevant from a field-theoretical standpoint as it provides an insight into the applicability of derivative expansions of the effective action to studies of general fermion-boson models, both at zero and finite chemical potential. Our computation is based on a functional renormalization group setup that preserves causality, all spacetime symmetries, and the Silver-Blaze property. The combination of these properties can only be achieved by a Callan-Symanzik regulator. Instead of momentum shell integrations, renormalization group flows generated by such a regulator describe the change of the theory induced by a change of the masses of the mesons and quarks. A particular focus of our work lies on the construction of controlled Callan-Symanzik flows in the presence of spontaneous and explicit chiral symmetry breaking by means of chiral Ward-Takahashi identities.

Towards quantitative precision in functional QCD I

Ihssen, Pawlowski, Sattler, Wink, arXiv:2408.08413

Functional approaches are the only first principle QCD setup that allow for direct computations at finite density. Predictive power and quantitative reliability of the respective results can only be obtained within a systematic expansion scheme with controlled systematic error estimates. Here we set up such a scheme within the functional renormalisation group (fRG) approach to QCD, aiming for full apparent convergence. In the current work we test this setup, using correlation functions and observables in 2+1 flavour vacuum QCD as a natural benchmark case. While the current work includes many evolutionary improvements collected over the past two decades, we also report on three novel important developments: (i) A comprehensive systematic error analysis based on the modular nature of the fRG approach. (ii) The introduction of a fully automated computational framework, allowing for unprecedented access and improvement of the fRG approach to QCD. (iii) The inclusion of the full effective potential of the chiral order parameter. This also gives access to all-order scattering events of pions and to the full momentum dependence of correlation functions, which is a first application of the automated computational framework (ii). The results compare very well to other state-of-the-art results both from functional approaches and lattice simulations, and provide data on general multi-scattering events of pions and the sigma mode for the first time.

Other news

Plenary talk at Quark Matter 2025

Fabian Rennecke presented a plenary talk on 'The QCD phase structure and its signatures from functional approaches' at the Quark Matter 2025 conference, which is taking place from April 6-12 in Frankfurt, Germany.

Yong-rui Chen won Humboldt Fellowship

Yong-rui Chen won the prestigious Humboldt Research Fellowship.

Plenary talk at QCHSC 2024

Fabian Rennecke presented a plenary talk on The QCD phase structure and its signatures from functional approaches at the XVIth Quark Confinement and the Hadron Spectrum Conference conference, which was held from Aug. 18-24 in Cairns, Australia.

Plenary talk at SEWM 2024

Fabian Rennecke presented a plenary talk on The QCD phase structure and its signatures from functional approaches at the Strong and Electro-Weak Matter 2024 conference, which was held from Aug. 25-30 in Frankfurt, Germany.

Lecture series at the XQCD 2024 summer school

Jan M. Palwowski gave a lecture series on Functional QCD and the QCD phase structure at the PhD School on QCD under extreme conditions, 14 - 16 July, 2024 , accompanying XQCD , held in Lanzhou, China, 14 - 16 July.

Shi Yin won Humboldt Fellowship

Shi Yin won the prestigious Humboldt Research Fellowship.